Relacja Live

17.09.2014

10:59

Sytuacja PiS i PO w połowie września na jednym wykresie

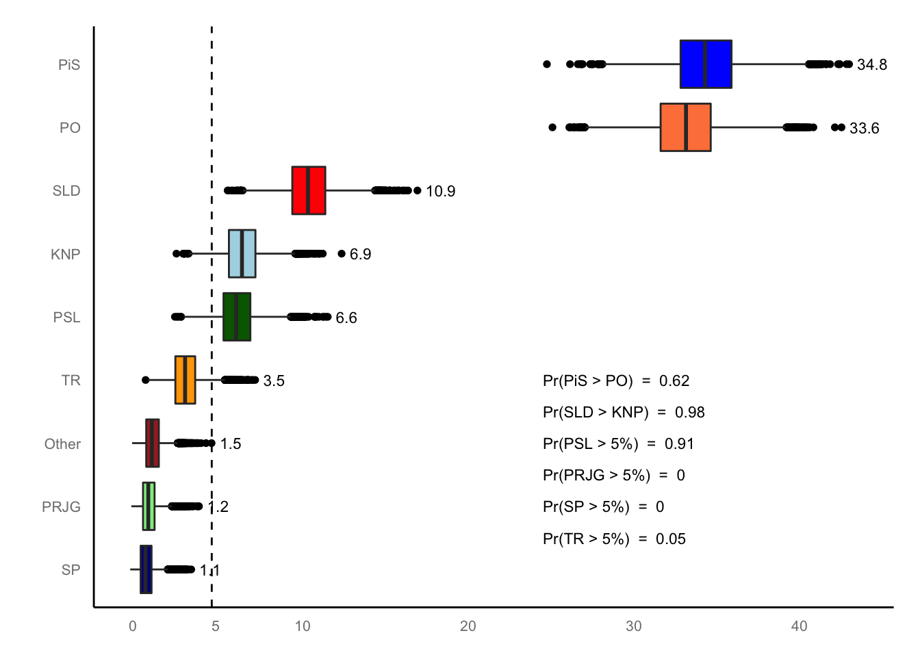
Wykres przygotowany przez dr Bena Stanleya z University of Sussex najlepiej pokazuje sytuacje sondażową PO i PiS na początku drugiej połowy września. Platformie udał się odrobić część start z fatalnego dla partii okresu wakacyjnego (afera taśmowa), SLD ustabilizowało swoją pozycję, PSL cały czas nad progiem. Wykres pokazuje "sytuację startową" najważniejszych partii przed okresem, w którym dominować będą komentarze dotyczące nowego rządu i expose premier Kopacz. Później rozpocznie się główna, ogólnokrajowa część kampanii samorządowej.

Pytanie oczywiście, czy zyski Platformy będą trwałe. Możliwe jednak, że w najbliższych miesiącach powtórzy się historia z wyborów do PE, w których Platformie udało się - mimo trudnej sytuacji na początku roku - minimalnie wygrać z PiS w maju.

Przegląd długoterminownych trendów sondażowych jasno pokazuje też, dlaczego PiS (i nie tylko) będzie za wszelką cenę próbował powrócić do tematu afery taśmowej, która miała wyraźny wpływ na sytuację PO. Wszystkie wykresy uwzględniają najnowszy sondaż TNS.

Najnowsze sondaże pokazują cały czas minimalną przewagę partii Jarosława Kaczyńskiego.



Tak sondaże przekładają się na układ sił w parlamencie.



Liczbna niezdecydowanych w sondażach najważniejszych pracowni spada od początku roku.



Więcej informacji można znaleźć na stronie dr Bena Stanleya http://rpubs.com/benstanley/26691

fot. Ben Stanley


09:50

Wypowiedzi poranka. Hofman o PO: Patologiczna partia nie jest w stanie sama się oczyszczać. Gowin: W najgorszym razie to będzie rząd chaosu
Adam Hofman w Jeden na Jeden TVN24 o wniosku o komisję śledczą dot. afery podsłuchowej: Prokuratorzy biorą udział w maskowaniu tej afery i komisja śledcza to jest jedyny sposób [żeby to wyjaśnić]. Pod lupę poszły wszystkie rozmowy, nasz wniosek będzie zgodny z konstytucją i ustawą.(...) Liczymy na sumienie posłów. Hofman o tekście "Newsweeka": To jest zabawny stek bzdur. My się  nie przejmujemy tym co tam jest napisane, to są bzdury, przejmujemy się natomiast, że ktoś coś takiego podszepnął, tego Brutusa trzeba znaleźć. My to załatwimy wewnętrznie. Hofman o pozostaniu w rządzie Arłukowicza: To kolejny dowód na to, że ten rząd jest nie tylko kontynuacją poprzedniego, nie jest żadną zmianą, ale także na to, że patologiczna partia nie jest w stanie się sama oczyszczać, że patologiczna partia patologiczną pozostanie  (...) Nie mam zielonego pojecia jaki jest sens trzymania beznadziejnych ministrów, Arłukowicz nie tylko nie polepsza, ale pogarsza sytuację pacjentów. W ramach tej patologii PO nie da się wyłonić gabinetu (...) jedyną realną zmianą są wybory, zmiana partii i systemu władzy. Hofman o prawyborach w PiS: Decyzja zostanie podjęta po wyborach samorządowych, do grudnia. Dają możliwość wypromowania kandydatów mniej znanych. Optymalna liczba kandydatów to dwóch. Prawybory niosą za sobą zagrożenia, ale jestem dobrej myśli. Joachim Brudziński w TVP Info o Ewie Kopacz i jej rządzie: Wydaje się, że w tym roku wyborczym trudno oczekiwać jakiegoś przełomu. Jak zawsze w wykonaniu polityków PO, pustych obietnic będzie co niemiara. Kopacz jest osobą, której kłamstwo gładko przychodzi, wystarczy spojrzeć na jej [dokonania i zachowanie] w ministerstwie zdrowia. Kopacz potrafiła też niezwykle grubiańsko atakować konkurentów politycznych, warto przypomnieć takie słowa, jak „hieny cmentarne” czy „szubrawcy” pod adresem opozycji.  Brudziński o prokuraturze i aferze taśmowej: Ewidentne złamanie konstytucji, jakim był „deal” między Belką i Sienkiewiczem, a prokuratura umywa ręce umarzając śledztwo. To jest kolejna kompromitacja prokuratury (...) Poziom kompromitacji siegnął dna. Jarosław Gowin w Sygnałach Dnia Polskiego Radia o rządzie Ewy Kopacz: Generalnie rzecz biorąc jak patrzę na proces formowania tego rządu, to mam wrażenie, że Ewa Kopacz przetasowuje tę samą, już dosyć zgraną talię kart. Jako Polak trzymam kciuki za ten rząd, życzę każdemu polskiemu rządowi dobrze. Natomiast znając nową panią premier, znając osoby, które są wymieniane w kontekście nowych resortów, to przyznam, że nie mam wielkich oczekiwań wobec tego rządu. W najlepszym razie to będzie rząd, który będzie administrował do wyborów. W najgorszym razie będzie to rząd chaosu. Gowin o Sikorskim: Mam tutaj mieszane uczucia, bo z jednej strony po aferze taśmowej uważałem, że Donald Tusk powinien odwołać ministra Sikorskiego, z drugiej strony jeżeli mamy tak unikalną w dziejach Europy sytuację, że w tym samym momencie Polskę opuszcza i premier i wicepremier, to wydaję mi się, że w obliczu tego, co dzieje się za naszą wschodnią granicą lepiej byłoby aby szef MSZ kontynuował swoją misję.  Janusz Piechociński w Radiu ZET o słowach dotyczących "doprowadzenia do dymisji rządu": Gdy zobaczy Pani skład nowego rządu, to się okaże, że byłem w tym bardzo konsekwentny. Piechociński o komisji śledczej: Mówmy konsekwentnie nie komisjom śledczym. W przypadku komisji ds. WSI część kolegów poczuła się wyjątkowo dotknięta. Władysław Kosiniak-Kamysz w Kontrwywiadzie RMF o komisji śledczej: My nie jesteśmy zwolennikami komisji śledczych i od początku mówimy - komisja śledcza to nie jest najlepsze rozwiązanie. To jest spektakl medialny, który nie przynosi wyników w postaci rozwiązania problemu.  fot. tvn24

13:56

PiS wzywa PSL do poparcia wniosku o komisję śledczą ws. afery taśmowej

"Trzeba przypomnieć, jak wygląda elita Platformy, która rządzi Polską. (...) rządzą nami ludzie, którzy są przekonani, że Polska nie istnieje". - mówił w środę na konferencji prasowej Antoni Macierewicz. Prawo i Sprawiedliwość złożyło wniosek o powołanie komisji śledczej ds. afery taśmowej. Ale poza przypomnieniem kilku najważniesjszych wątków całej sprawy, główny przekaz polityczny PiS skierowany był dziś do PSL. Mariusz Błaszczak stwierdził, że PiS stwarza okazję dla ludowców, by całą sprawę wyjaśnić.

Błaszczak tak mówił dziś o Piechocińskim.: "Stawiał tę kwestię na ostrzu noża, mówił, że wyjdzie z koalicji, jeśli sprawa nie zostanie wyjaśniona do końca wakacji. Stwarzamy okazję wicepremierowi i PSL-owi, żeby nasz wniosek poprzeć i sprawę do końca wyjaśnić".  Wniosek o komisję śledczą zawiera oczywiście proponowany zakres jej prac, uporządkowany przez PiS w 9 głównych elementów. Są to m.in. wątki dotyczące Marka Falenty, słów Radosława Sikorskiego o działanich służb w Afganistanie, opóźnień w budowie gazpoortu, przekroczenia uprawnień przez Andrzeja Parafianowicza, finansowania imprez artystycznych przez spółki skarbu państwa, odprawy byłego prezesa PGE Krzysztofa Kiliana, wiedzy premiera o Amber Gold oraz przekroczenia uprawnień przez Marka Belkę. PiS oddelegowało do komisji Antoniego Macierewicza i Mariusza Kamińskiego.



Politycy PSL dość jednoznacznie wypowiadali się w środę rano o całym pomyśle. Władysław Kosiniak-Kamysz powiedział w Kontrwywiadzie RMF, że wyjaśnienie sprawy jest ważne ale: "My nie jesteśmy zwolennikami komisji śledczych i od początku mówimy - komisja śledcza to nie jest najlepsze rozwiązanie. To jest spektakl medialny, który nie przynosi wyników w postaci rozwiązania problemu". Janusz Piechociński w Radiu ZET powiedział, że PSL "konsekwentnie mówi nie" komisjom śledczym. 

Politycy PiS odnieśli się także do pomysłu, aby to Radosław Sikorski został marszałkiem Sejmu. Macierewicz mówił w tonie identycznym jak Jarosław Kaczyński w sobotę: "Do czego Sikorski chce używać Sejmu polskiego i komisji śledczych? Nie do dochodzenia do prawdy, nie do ścigania przestępstw, tylko do walki z opozycją. Temu ma służyć jego plan stworzenia komisji śledczej przeciwko Prawu i Sprawiedliwości. Po to by robić dwuletni cyrk. Celem jest wyłącznie walka z opozycją". 

Los wniosku PiS jest w zasadzie przesądzony. Ale cała sprawa na pewno będzie wykorzystywana w przyszłych kampaniach przez polityków PiS jako sygnał, że PSL broni za wszelką cenę rządowego status quo, mimo licznych deklaracji o chęci wyjaśnienia całej sprawy.

Fot. PiS na FB


19:33

Kopacz, Kaczyński, Sikorski - 3 polityczne wystąpienia, które dadzą przedsmak kampanii

W następnych trzech tygodniach będą miały miejsce trzy ważne wystąpienia polityczne, które podpowiedzą jaki kształt może przybrać polityka po Tusku.

Exposé, a być może nawet szybciej orędzie telewizyjne Ewy Kopacz, głos lidera opozycji w debacie nad exposé oraz wystąpienie Radosława Sikorskiego po prawie już pewnym wyborze na marszałka Sejmu. Dla całej trójki najważniejszych parlamentarnych polityków: przyszłej premier, lidera opozycji i przyszłego marszałka, wystąpienia te będą testem ich przywództwa na całkowicie zmienionej odejściem Tuska scenie politycznej.

Exposé Kopacz. Najważniejsze pytanie, które nad nim wisi to, czy Ewa Kopacz uniesie rolę i czy uda jej się - w zasadzie zupełnie na nowo -przedstawić opinii publicznej. Czy nie "naćka" kluczowego wystąpienia szczegółami bez większego znaczenia. Takiej pokusie odegrania roli prymusa uległ Donald Tusk, wygłaszając swoje pierwsze exposé w 2007, ale nie czekał go żaden wyborczy pojedynek w następnych 12 miesiącach.

Jan Rokita, parę dni temu w FpF TVN24 namawiał Kopacz, "by, mając do dyspozycji rok, nie manifestowała swojej wybitności w każdym temacie, tylko pokazała się jako pragmatyczny człowiek, który w ciągu tego roku chce coś konkretnego zrobić w jakiejś dziedzinie ważnej dla ludzi". I zapewne na taki scenariusz posiadająca dość praktyczne, pozbawione wielkiej idei podejście Kopacz się zdecyduje.

Odbiór exposé  będzie w najbliższych tygodniach dla Kopacz kluczowy, zwłaszcza dla poddawanych presji Grzegorza Schetyny tylnych ław poselskich klubu PO, ale też lokalnych struktur. Po tym wystąpieniu Kopacz i tym jak zostanie odebrane przez komentatorów, ławy PO będą mogły dokonać rachuby swoich własnych szans na reelekcję/ wybór do sejmiku/ na burmistrza/ zachowanie posady.

W skali makro, parlamentarny pojedynek Kopacz - Kaczyński pokaże jaki nowy podział rysuje się po odejściu Tuska.

Czy Jarosław Kaczyński znalazł dobry, przekonywujący język do opisania nowej premier. Czy to, że nowy przeciwnik jest kobietą, Kaczyńskiemu rolę ułatwia, czy raczej utrudnia, jak uważa się w PO. Czy retoryka Kaczyńskiego bez Tuska ma jeszcze sens, czy pojawią się nowe akcenty.

Wystąpienie Kaczyńskiego pokaże na jaką linię polityczną w nowym otwarciu politycznym zdecyduje się największa siła opozycyjna i w jakiej formie jest jej lider.

Przejęcie Sejmu przez Sikorskiego. Jeżeli Radosław Sikorski miał wątpliwości czy przenosić się z Szucha na Wiejską, to wziąć pod uwagę powinien to, że żaden z wicepremierów nie będzie miał tak obserwowanego otwarcia, ani politycznej ekspozycji.

Moment przesłania Sikorskiego do Sejmu można porównywać z sejmowym wystąpieniem Aleksandra Kwaśniewskiego, po wyborczym sukcesie SLD w 1993. Nie ze względu na polityczną doniosłość, ale na podobną potrzebę zmiany skóry.

Kwaśniewski, po wygranych wyborach parlamentarnych 93, ale już z myślą o prezydenturze 1995, wykorzystał sejmową trybunę, żeby wizerunkowo przeprowadzić się z pozycji lidera tryumfujących postkomunistów, na pozycję kogoś, kto może myśleć o elektoracie szerszym niż samo SLD. W słynnym wystąpieniu podczas debaty przy okazji powołania rządu SLD-PSL Kwaśniewski, patrząc na Jacka Kuronia przeprosił ludzi dawnej opozycji ("niektórzy są na tej sali") za represje komunizmu.

Tamto wystąpienie Kwaśniewskiego było politycznie fundamentalne, bo nawiązywało do najgorętszego politycznego sporu dziesięcioleci. Wystąpienie Sikorskiego takim nie jest, ale chcąc, by jego wybór na marszałka miał znaczenie, powinien grubą kreską oddzielić swoją polityczną przeszłość jako zimnowojennego żołnierza sporu PO-PiS, gdzie jego język, metafory dalece odbiegały od tego, czego oczekuje się w polskiej tradycji politycznej od marszałka Sejmu.

Sikorski nie jest mówcą porywającym, ale to dla niego ogromna szansa, by otworzyć swój nowy etap, tak jak Kwaśniewski otworzył swój, sejmowym wystąpieniem w 1993. Nowy etap, nie tylko po wieloletnim odgrywaniu roli niewybrednie atakującego PiS i zmarłego prezydenta, ale i po serii niepowodzeń w ubieganiu się o role międzynarodowe i aferze taśmowej, która bardzo mocno go osłabiła.

Według relacji Kwaśniewskiego, Sikorski śmiał się kiedyś, że często, na ulicy, przechodnie biorą go za ówczesnego prezydenta. Jeżeli myśli poważnie o drodze do prezydentury, lub jak pisze w Wyborczej Paweł Wroński- "rezerwowego" Platformy, to powinien bardzo poważnie przemyśleć swój przekaz po dość prawdopodobnym wyborze na marszałka.

Wydaje się, że poza wewnętrznymi grami w Platformie, ton polityce będą nadawać Komorowski, Kaczyński, Kopacz i Sikorski.

Od tego jak trójka z nich wykorzysta sejmową trybunę będzie zależało jak obserwatorzy ocenią ich polityczną kondycję na początku najważniejszego politycznego maratonu od 7 lat.


20:29

OBRAZ DNIA: KKZ: PO 3 kandydatów do MSW i MIR, Sikorski marszałkiem, Koźmiński do MSZ? W sobotę start kampanii PiS

-- JANUSZ PALIKOT W FPF: Powołanie Rostowskiego na jakiekolwiek stanowisko to minus 10 procent. Sama znajomość języków nie wystarczy.

-- JUSTYNA POCHANKE DO PALIKOTA: Czytałam wywiad z panem na 300polityka, kim są te kulturalne ciotki, które mogą otoczyć zbyt ścisłym wianuszkiem premier Ewę Kopacz?

-- PALIKOT: Ona mówi o nich psiapsiółki. Wiadomo, jaki to jest krąg osób. Ewa potrzebuje teraz zespołu doradców politycznych. Pracowała na nią ekipa Tuska, która odchodzi do Brukseli. Ona musi się otoczyć tymi, którzy pomogą, a nie tymi, kim lubi. Tu trzeba zdolności analitycznych, syntezy, do tego są potrzebni fachowcy, a nie ludzi, których się lubi. Politycznie, Kopacz będzie się musiała oprzeć o Grabarczyka.

-- POCHANKE: Ale sam pan mówi, że to spryciarz, który ją osaczy...

-- PALIKOT W FPF: W dyskusji o powołaniu tego rządu dominuje kto obejmie jakie stanowisko, a nie co ten rząd zrobi.

-- WYWIAD 300 Z PALIKOTEM, KTÓRY CYTOWAŁA JUSTYNA POCHANKE: Ciotki kulturalne, gniazdko Kopacz, męczydło Sikorski. Palikot dla 300 o konserwatyście Michniku, polityce, książkach i o tym, czy mówi “O, Jezu!”. https://300polityka.pl/news/2014/09/13/ciotki-kulturalne-gniazdko-kopacz-meczydlo-sikorski-palikot-dla-300-o-konserwatyscie-michniku-polityce-ksiazkach-i-o-tym-czy-mowi-o-jezu/

-- PIS WZYWA PSL DO POPARCIA WNIOSKU O KOMISJĘ ŚLEDCZĄ WS. AFERY TAŚMOWEJ: “Prawo i Sprawiedliwość złożyło wniosek o powołanie komisji śledczej ds. afery taśmowej. Ale poza przypomnieniem kilku najważniesjszych wątków całej sprawy, główny przekaz polityczny PiS skierowany był dziś do PSL. Mariusz Błaszczak stwierdził, że PiS stwarza okazję dla ludowców, by całą sprawę wyjaśnić”. https://300polityka.pl/news/2014/09/17/pis-wzywa-psl-do-poparcia-wniosku-o-komisje-sledcza-ws-afery-tasmowej/

-- KONRAD PIASECKI: KOMISJA ŚLEDCZA? CZEMU NIE: “Pamiętacie Państwo premiera, który z trybuny sejmowej mówił, że ‘chce mieć pewność, że będziemy realizowali polskie scenariusze’ i drżał z obawy o to ‘jakim alfabetem jest pisany ten scenariusz’? Pamiętacie Państwo obietnice szybkiego wyjaśnienia sprawy? A pamiętacie jak jeden z bohaterów nagrań deklarował, że on kariery w polityce już nie zrobi, a inny, że złoży mandat poselski? I co się z tym wszystkim dziś dzieje? Mam dziwne wrażenie, że jeszcze tydzień-dwa i afera podsłuchowa rozmyje się nam w cudowny sposób. Kto i dlaczego nagrywał? Gdzie jest ten pisany cyrylicą scenariusz? Co o nagraniach wiedziały służby? Dlaczego nie reagowały na pogłoski o tym, że ktoś podsłuchuje ministrów?”.http://rmf24.pl/tylko-w-rmf24/konrad-piasecki/blogi/news-komisja-sledcza-czemu-nie,nId,1500753

-- JOACHIM BRUDZIŃSKI W KROPCE NAD I: Prokuratura w sprawie afery podsłuchowej powiedziała “Polacy, nic się nie stało”.

-- BRUDZIŃSKI O PIECHOCIŃSKIM: Rano mówi co innego, a co innego wieczorem.

-- BRUDZIŃSKI O SIKORSKIM: Nie jest problemem dla PiS osoba Sikorskiego, jest problemem PO. To przesunięcie [do Sejmu] najlepiej pokazuje, co jest celem tamtej ekipy.

-- BRUDZIŃSKI O TUSKU: Trzymam kciuki, żeby spełnił zdania, które PiS przed nim stawia jak np. zapewnienie bezpieczeństwa energetycznego Polsce. Ale zostawił tu niezły pasztet i bałagan.

*****

#NOWY RZĄD:

-- KOPACZ, KACZYŃSKI, SIKORSKI - 3 POLITYCZNE WYSTĄPIENIA, KTÓRE DADZĄ PRZEDSMAK KAMPANII - piszemy na 300polityka: “Exposé, a być może nawet szybciej orędzie telewizyjne Ewy Kopacz, głos lidera opozycji w debacie nad exposé oraz wystąpienie Radosława Sikorskiego po prawie już pewnym wyborze na marszałka Sejmu. Dla całej trójki najważniejszych parlamentarnych polityków: przyszłej premier, lidera opozycji i przyszłego marszałka, wystąpienia te będą testem ich przywództwa na całkowicie zmienionej odejściem Tuska scenie politycznej”.

-- 300POLITYKA O WYSTĄPIENIU KACZYŃSKIEGO: “Czy Jarosław Kaczyński znalazł dobry, przekonywujący język do opisania nowej premier. Czy to, że nowy przeciwnik jest kobietą, Kaczyńskiemu rolę ułatwia, czy raczej utrudnia, jak uważa się w PO. Czy retoryka Kaczyńskiego bez Tuska ma jeszcze sens, czy pojawią się nowe akcenty. Wystąpienie Kaczyńskiego pokaże na jaką linię polityczną w nowym otwarciu politycznym zdecyduje się największa siła opozycyjna i w jakiej formie jest jej lider”.

-- 300POLITYKA O SIKORSKIM: “W słynnym wystąpieniu podczas debaty przy okazji powołania rządu SLD-PSL Kwaśniewski, patrząc na Jacka Kuronia przeprosił ludzi dawnej opozycji (‘niektórzy są na tej sali’) za represje komunizmu. Tamto wystąpienie Kwaśniewskiego było politycznie fundamentalne, bo nawiązywało do najgorętszego politycznego sporu dziesięcioleci. Wystąpienie Sikorskiego takim nie jest, ale chcąc, by jego wybór na marszałka miał znaczenie, powinien grubą kreską oddzielić swoją polityczną przeszłość jako zimnowojennego żołnierza sporu PO-PiS, gdzie jego język, metafory dalece odbiegały od tego, czego oczekuje się w polskiej tradycji politycznej od marszałka Sejmu”. https://300polityka.pl/news/2014/09/17/kopacz-kaczynski-sikorski-3-polityczne-wystapienia-ktore-dadza-przedsmak-kampanii/

-- JACEK ROSTOWSKI NIE CHCE BYĆ SZEFEM MSZ, BO PRZESTRASZYŁ SIĘ REAKCJI MEDIÓW: “Jan Vincent Rostowski sam zrezygnował i przestał się ubiegać o miejsce w rządzie Ewy Kopacz. Zaufana osoba z jego otoczenia tłumaczy, że zraził się do tego pomysłu po reakcji mediów na informację o jego kandydaturze. Inne żródło podaje, że JVR musiałby zrezygnować z podwójnego obywatelstwa. Rostowski posiada obywatelstwo zarówno polskie, jak i brytyjskie, ma też liczną rodzinę w Anglii. Na medialnej giełdzie osób, które mogą objąć tekę szefa naszej dyplomacji pozostają nazwiska Jerzego Koźmińskiego Pawła Zalewskiego”. http://natemat.pl/117187,jan-vincent-rostowski-zrezygnowal-z-ubiegania-sie-o-stanowisko-szefa-msz-w-rzadzie-kopacz

-- EWA KOPACZ BYŁA CZŁONKIEM ZSL - ujawnił na Twitterze rzecznik PSL Krzysztof Kosiński. https://twitter.com/kosinskik/status/512169385386311680

-- MAŁGORZATA KIDAWA-BŁOŃSKA O MARSZAŁKU SIKORSKIM: “Kidawa-Błońska skomentowała również doniesienia, zgodnie z którymi Radosław Sikorski miałby opuścić MSZ i zostać marszałkiem Sejmu. We wtorek w ‘Faktach po Faktach’ Stefan Niesiołowski przyznał, że jest w tych informacjach ‘sporo prawdy’.- Bo jest sporo prawdy - zgodziła się ze swoim partyjnym kolegą rzeczniczka. - Skłamałabym jednak, gdybym powiedziała, że wiem to na sto procent.- To są informacje, które otrzymałam od kolegów, zbierając informacje, ale pewności nie mam - powiedziała”. http://tvn24.pl/wiadomosci-z-kraju,3/sikorski-marszalkiem-sklamalabym-gdybym-powiedziala-ze-wiem-to-na-100-procent,468934.html

*****

#KAMPANIA:

-- PIS W ŁODZI ROZPOCZNIE KAMPANIĘ SAMORZĄDOWĄ. W sobotę 20 września o godzinie 12:00 na Uniwersytecie Medycznym w Łodzi zostanie zaprezentowana “Deklaracja Programowa PiS”.

-- BOGUSŁAW SONIK NA FB: “Nie rozstaję się z trójką. W najbliższych wyborach samorządowych startuje z krakowskiej listy PO do sejmiku wojewódzkiego z 3. miejsca. Już dziś 3majcie kciuki!”.

-- JÓZEF LASSOTA NIE POPRZE MARKA LASOTY W KRAKOWIE: “Józef Lassota zapewnia, że nie jest Markiem Lasotą i nie startuje z listy Prawa i Sprawiedliwości. - Nie przewiduję poparcia kandydata PiS - dodaje”. http://lovekrakow.pl/aktualnosci/jozef-lassota-nie-przewiduje-poparcia-marka-lasoty_6865.html

-- IRENEUSZ RAŚ W ZARZĄDZIE PO WOJEWÓDZTWA MAŁOPOLSKIEGO: “Wystawienie przez PiS i jego sojuszników Marka Lasoty - ciągle członka klubu Platformy Obywatelskiej w małopolskim sejmiku - do wyborów na prezydenta Krakowa stawia w bardzo trudnej sytuacji Platformę. By gasić partyjny pożar, do małopolskiego zarządu PO - kierowanego przez Grzegorza Lipca - dokooptowano posła Ireneusza Rasia, który rządził regionem przed Lipcem”. http://krakow.gazeta.pl/krakow/1,44425,16655896,Kandydat_Marek_Lasota_zamiesza_w_Platformie_Obywatelskiej.html#ixzz3DZxVslW8

-- RZESZÓW: PO “UŚMIECHA SIĘ” DO PREZYDENTA FERENCA: “Do wyborów samorządowych zostały tylko dwa miesiące, a rzeszowska Platforma Obywatelska, jako ostatni z dużych graczy na lokalnej scenie politycznej, ciągle nie ogłosiła kandydata na prezydenta miasta. Oficjalny powód to rozmowy z potencjalnymi kandydatami. Nieoficjalnie wiadomo, że nikt nie chce stanąć do walki z Tadeuszem Ferencem”. http://nowiny24.pl/apps/pbcs.dll/article?AID=/20140917/RZESZOW/140919711

*****

FAKTY TVN

-- NIEJASNE SĄ ZWIĄZKI MIĘDZY SPRAWOZDANIEM PROKURATORA GENERALNEGO, ZATWIERDZONYM PRZEZ PREMIERA, A UMORZENIEM TEGO POSTĘPOWANIA - Janusz Palikot na czołówce.

-- PROKURATURA NIE DZIAŁA NA ZAMÓWIENIE POLITYKÓW, ROBI PO PROSTU SWOJE - wypowiedź Andrzeja Seremeta na czołówce.

-- KAMIL DURCZOK: Gotowy rząd to na razie pobożne życzenia, niż stan faktyczny.

-- KATARZYNA KOLENDA-ZALESKA SPRZED SEJMOWEGO GABINETU MARSZAŁEK SEJMU: Rządowa układanka okazała się dużo bardziej skomplikowana. Radosław Sikorski na pewno zostanie marszałkiem Sejmu. Kluczowa sprawa to obsada MSZ. Jerzy Koźmiński do tej pory odmawiał, ale marszałek poszła na kolejne negocjacje z osobami, które kontaktują się z ambasadorem. Ewa Kopacz powiedziała mi, że na stanowisko szefa MSW ma 3 kandydatów, ale nie podjęła jeszcze decyzji. Podobnie jest z MIR - 3 kandydatów, i nie dokonano żadnego wyboru.

-- EWA KOPACZ: Pracuję, pracuję. Rząd jest już skompletowany. Kto zostanie ministrem, powiem w piątek.

-- KOLENDA-ZALESKA: Prezydent nie chce zgodzić się na odejście Sikorskiego.

-- EUGENIUSZ GRZESZCZAK: Sikorski to sprawdzony polityk na bardzo ważnym konstytucyjnym stanowisku.

-- GRZEGORZ SCHETYNA: Zna wszystkich szefów MSZ, jest nestorem w tym gronie. Ma niekwestionowaną pozycję. To będzie trudna decyzja, jeśli miałby zostawić ministerstwo, nie z korzyścią dla polskiej polityki zagranicznej.

-- KOPACZ: Prezydent jest bardzo mocno wspierającym mnie człowiekiem, kochającym Polskę i Platformę. Myślę, że ma odrobinę sympatii również dla mojej skromnej osoby.

-- KOLENDA-ZALESKA: Prezydent odwołał wszystkie zaplanowane na jutro wyjazdy i jeszcze będzie próbował wpływać na wybór szefa MSZ.

-- CEZARY GRABARCZYK: Taka prawdziwa szansa dla prezydenta chyba otwiera się w związku z przyszłorocznymi wyborami prezydenckimi, jak i parlamentarnymi.

-- KOLENDA-ZALESKA: Mateusz Szczurek zostaje, Marek Biernacki raczej nie wejdzie do nowego rządu.

-- KAMIL DURCZOK: Grę w komisję ułatwia PiS-owi sama Platforma. Obietnica wyjaśnienia afery to ciągle puste hasło, a kolejne terminy deklarowane przez premiera i szefa MSW padają, jeden po drugim.

-- ADAM HOFMAN W MATERIALE JAKUBA SOBIENIOWSKIEGO: Prokuraturzy biorą udział w maskowaniu tej afery i dlatego komisja śledcza to jedyna możliwość, żeby to wyświetlić.

-- WITOLD WASZCZYKOWSKI: Umorzenie śledztwa zbiegło się z podpisaniem sprawozdania przez premiera. Być może to nieprzypadkowa zbieżność.

-- ANDRZEJ SEREMET: Nie słyszałem nawoływań do powstania komisji wtedy, kiedy największa partia opozycyjna spotkała się z decyzją prokuratury, umarzającą postępowanie ws. likwidacji WSI.

-- PAWEŁ OLSZEWSKI: To głupi wniosek, o charakterze politycznym, nie ma najmniejszego uzasadnienia.

*****

WIADOMOŚCI TVP

-- CIOS W PLECY - pierwszy materiał o rocznicy 17 IX.

-- EWA KOPACZ: Nazwiska są już w mojej głowie.

-- BARTOSZ ARŁUKOWICZ: Bardzo dobra merytoryczna rozmowa.

-- CEZARY GRABARCZYK O TYM, CO MOŻNA ZROBIĆ W ROK: Zrealizować zapowiedzi Donalda Tuska, dokończyć inwestycje.

-- JUSTYNA DOBROSZ-ORACZ: Do ostatecznej rozmowy Kopacz z Sikorskiem ma dojść jutro rano.

-- MARIUSZ KAMIŃSKI W MATERIALE O WNIOSKU PIS: Prokuratura nie chciała badać tego o czym mówili panowie [Belka i Sienkiewicz].

-- PiS MA KANDYDATÓW DO KOMISJI: Antoni Macierewicz i Mariusz Kamiński.

-- ANDRZEJ SEREMET: Protestuje przeciwko takim insynuacjom. Prokuratorzy są niezależni w dzialaniach procesowych.

*****

WYDARZENIA POLSATU

-- NAZWISKA SĄ JUŻ W MOJEJ GŁOWIE - wypowiedź Ewy Kopacz na czołówce.

-- TO PROWOKACJA WYMIERZONA W PIS - wypowiedź Mariusza Błaszczaka na czołówce.

-- JANUSZ PIECHOCIŃSKI: To będzie duże przemeblowanie. Duża, istotna korekta. O personaliach w PO poinformuje Ewa Kopacz.

-- EWA KOPACZ: Pan prezydent jest bardzo mocno wspierającym mnie człowiekiem, kochającym Polskę i Platformę.

-- TADEUSZ IWIŃSKI: Wzrasta rola ośrodka prezydenckiego.

-- MARIUSZ BŁASZCZAK: On dorzynał watahy, i teraz ktoś taki ma być marszałkiem Sejmu?

-- GRZEGORZ SCHETYNA NA PYTANIE, CZY HALICKI WEJDZIE DO RZĄDU: Nie wiem. Serio serio.

-- CEZARY GRABARCZYK: Nie chcę spekulować, czekam na rozmowę z panią marszałek.