Nie będzie innego
- Kaczyński o kandydacie PiS na premiera
Gorący temat
03.05.2014
14:23
Na trzy tygodnie przed wyborami widać wyraźnie, że z mniejszych prawicowych partii to KNP ma największe szanse na zdobycie mandatów. Analiza sondaży przygotowana przez dr Bena Stanleya z University of Sussex pokazuje też lekki spadek poparcia dla Platformy oraz stabilną sytuację PiS.
Gdyby wybory odbywały się w najbliższą niedzielę najwięcej mandatów zdobyłaby PO. Impet, który ma Korwin (jeśli przełożyłby się na prawdziwe wyniki) dałby KNP 3 mandaty.
Z szacunków przygotowanych przez Stanleya wynika, że KNP ma największe szanse (75%) na przekroczenie progu. Analiza Stanleya nie pozostawia złudzeń co do szans SP w tym momencie. Jest też prawie 60% prawdopodobieństwo, że PO przeskoczy PiS.
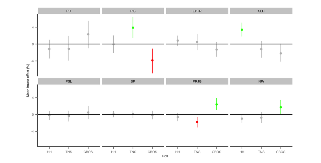
Ben Stanley przygotował też świeżą wersję wykresu pokazującego "house effect" poszczególnych pracowni badawczych w Polsce.
fot. Ben Stanley
09:26
Premier Tusk odwiedził dziś jednego z kombatantów wojny obronnej 1939 r. Jak poinformował CIR: "Okazją były 100. urodziny pana Józefa, które obchodził kilka dni temu. Jubilat mieszka w miejscowości Jezioro, koło Częstochowy. Pan Józef brał udział w wojnie obronnej w 1939 r. Walczył m.in. pod Mławą. Donald Tusk odwiedził pana Józefa w rocznicę uchwalania Konstytucji 3 Maja. Kombatant otrzymał od premier pamiątkową szablę. Decyzją Ministra Obrony Narodowej z 31 marca 2014 r. pan Józef został mianowany na stopień wojskowy kapitana"
Jak powiedział premier po spotkaniu o sytuacji na Ukrainie : "Wczorajsze wydarzenia i ostra konfrontacja pokazują, że mamy do czynienia z wojną. To wojna trochę innego typu – bez wypowiedzenia, ale mamy do czynienia z wojną. Widać wyraźnie, że dotychczasowe działania wspólnoty międzynarodowej nie przynoszą rezultatu"
Szef rządu weźmie dziś też udział w uroczystościach z okazji 3 Maja na Placu Zamkowym w Warszawie.
fot. KPRM
20:51
-- TUSK O UKRAINIE: "Tak naprawdę mamy do czynienia de facto z wojną. Widać wyraźnie, że dotychczasowe działania wspólnoty międzynarodowej rezultatu nie przynoszą. (...) Czy jest jeszcze miejsce na inicjatywy dyplomatyczne? Coraz bardziej wszyscy tracimy nadzieję, bo kiedy ofiary liczy się w dziesiątki, kiedy używa się broni, kiedy zestrzeliwuje się śmigłowce, kiedy używa się broni rakietowej i to wszystko robią tzw. separatyści, to wszyscy widzimy, że mamy do czynienia z konfrontacją zbrojną organizowaną nie przez demonstrantów, tylko przez państwo, w tym przypadku przez Rosję" http://www.rmf24.pl/raport-ukraina/fakty/news-tusk-o-ukrainie-mamy-do-czynienia-z-wojna,nId,1419232
-- TUSK W POLSAT NEWS O UKRAINIE: "Wszyscy wolelibyśmy zamknąć oczy i nie widzieć tego, bo tam się powoli dzieją straszne rzeczy. Zagraniczni politycy woleliby usłyszeć coś uspokajającego. Nie mamy do czynienia z klasyczną wojną, bo żadne państwo nie napadło na inne".
-- TUSK O PODATKACH: "Dzisiaj w Polsce nie ma już przestrzeni na rewolucję podatkową - to mit, nie jesteśmy w stanie radykalnie obniżyć podatków. Wiem, że ludzie chcieliby usłyszeć od premiera: tak tak, będą niższe podatki. Chcielibyśmy ciągle poprawiać jakość usług, jakie państwo daje obywatelowi".
-- PREZYDENT KOMOROWSKI 3 MAJA: "Konstytucja 3 Maja do dzisiaj przypomina, że nie ma wolności bez nowoczesności" http://www.tvp.info/15051981/prezydent-w-rocznice-konstytucji-3-maja-nie-ma-wolnosci-bez-nowoczesnosci
-- 3 MANDATY KNP I KLUCZOWE TRENDY SONDAŻOWE PRZED OSTATNIĄ FAZĄ KAMPANII https://300polityka.pl/news/2014/05/03/najwazniejsze-trendy-w-sondazach-przed-kluczowym-etapem-kampanii-knp-moze-liczyc-na-3-mandaty/
-- --
WYDARZENIA
-- WOJNA NA UKRAINIE. Materiał Irminy Cisek
-- WITAJ MAJ, 3 MAJ!!! Komorowski: Konstytucja 3 maja miała być drogą do zerwania z silną zależnością od Rosji, wtedy nie udało nam się wyzwolić, nastąpiła rosyjska interwencja wsparta przez rodzimy obóz głupoty i zdrady, zwany Targowicą (…) Pogoda nie rozpieszcza w ramach "majówki z Polską", ale wiadomo, taki mamy klimat, cieszmy się z tego, że jest dobry klimat i dobra pogoda dla Polski
-- BARWY KAMPANII. Materiał Grzegorza Kępki. Tusk z wizytą u kombatanta, to część kampanii, tak jak nowy plakat z premierem. Palikot: Tusk postanowił popełnić samobójstwo w tych wyborach. Tusk nie zgadza się na komisję śledczą ws. finansowania KLD przez CDU. Tusk: Piskorski poza ambicją polityczną i wybujałą wyobraźnią niczym nie dysponuje. Partie chcą zmieniać Konstytucję. Gowin pojechał nad Morskie Oko, by bronić oscypka. Premiera tulipana Leszek Miller
-- OKIEM PREMIERÓW. Fragment wywiadu z Tuskiem: dzisiaj w Polsce nie ma już przestrzeni na rewolucję podatkową - to mit, nie jesteśmy w stanie radykalnie obniżyć podatków (…) Chcielibyśmy ciągle poprawiać jakość usług, jakie państwo daje obywatelowi
FAKTY
-- UKRAINA W OGNIU - starcia w Odessie. Władze Ukrainy oskarżają Rosję. Kowal: Rosja jest agresorem w tym konflikcie. Operacja ukraińskiej armii powoli przynosi efekty. Obserwatorzy OBWE uwolnieni.
-- TO JEST WOJNA - PDT: sytuacja jest bardzo poważna. Tak naprawdę mamy do czynienia z wojną, to jest wojna nowego typu.
-- KAŻDY SWOJE - dyplomatyczna gra wokół Ukrainy. Live Andrzeja Zauchy z Moskwy i Marcina Wrony z Waszyngtonu.
-- GOTOWI NA WSZYSTKO. Materiał Dariusza Prosieckiego. Ćwiczenia polskich i amerykańskich żołnierzy w Drawsku.
-- TEST KOMISYJNY - Jakub Sobieniowski o liście Piskorskiego do Ewy Kopacz o komisji śledczej. Piskorski: Ja się nie boję. Piskorski obiecuje, że w przypadku powołania komisji pokaże dowody. Tusk: Trzeba przedstawić konkretny powód, by powołać komisję. Spot Piskorskiego z winem i cygarem. Rostowski porównuje Piskorskiego do Tymińskiego. Kaczyński nie mówi o komisji śledczej. Setka Kaczyńskiego o tym, że wystarczy, by premier Tusk powiedział z mównicy, że nie było finansowania.
-- ŚWIĘTO KONSTYTUCJI - krótkie podsumowanie uroczystości rocznicowych.
WIADOMOŚCI
-- WOJNA DOMOWA - live i materiał Jacka Gasińskiego z Odessy.
-- UWOLNIENIE OBSERWATORÓW OBWE I REAKCJE NA ŚWIECIE WOBEC WYDARZEŃ NA UKRAINIE. Tusk o sytuacji na Ukrainie: To jest wojna nowego typu, wojna bez wypowiedzenia.
-- 3 MAJA - podsumowanie polityczne rocznicy. Materiał Kamila Dziubki. Komorowski: Nie ma wolności bez nowoczesności. Doceńmy współczesną Rzeczpopolitą. TR i SP pokazują projekty zmian w konstytucji. Palikot o Komorowskim w kościele. SP chce złożyć w poniedziałek wniosek o powołanie komisji konstytucyjnej. Jaki: Nowa konstytucja, albo śmierć. W praktyce zmiana konstytucji trudna w realizacji. Kaczyński o zmianach w konstytucji, obronie wartości. Gowin na Podhalu. Tusk u weterana kampanii wrześniowej. PO uznała temat bezpieczeństwa na najważniejszy. Po tym co stało się w Odessie, trudno uniknąć tematu. Miller: Trzeba życzyć by Ukraińcy pokonali kryzys. Dziubka: Nie ma już mowy o partyjnej zgodzie w sprawie Ukrainy.
-- OSTATNI MATERIAŁ: Adam Feder o tulipanie "Leszek Miller".
-- --
-- SIKORSKI W FAKTACH PO FAKTACH: "Jestem ofiarą spekulacji, bo nigdy nie kandydowałem na żadne międzynarodowe stanowisko, a jako PO i EPP zamierzamy wygrać wybory do PE, więc stanowisko następcy Ashton przypadnie socjalistom".
-- GIERTCH O PALIKOCIE: "Janusz Palikot, który atakował Sławomira Nowaka za historię z zegarkiem, sam przez sześć lat nie wpisywał do oświadczeń majątkowych swojego breitlinga. Gdy „Newsweek” zapytał o tę sprawę, Palikot najpierw dopisał breitlinga do swoich oświadczeń a po kilku dniach przyznał, że takich wartościowych zegarków może mieć więcej. (...) Nie mam wątpliwości, że, nie uwzględniając zegarka przez tyle lat, Palikot popełnił przestępstwo, za które powinien dostać zarzuty karne. Apeluję do Prokuratora Generalnego Andrzeja Seremeta, by zajął się tą sprawą tak samo gorliwie, jak zajmował się Sławomirem Nowakiem – mówi „Newsweekowi” mec. Roman Giertych, adwokat polityka Platformy". http://polska.newsweek.pl/oswiadczenie-majatkowe-palikota-zegarki-nowaka-newsweek-pl,artykuly,285267,1.html
-- NOWY SPOT MIGALSKIEGO O BUZKU https://www.youtube.com/watch?v=o7feBkEV2Wo
-- KACZYŃSKI CHCE 18 MINISTERSTWA:"Prezes PiS Jarosław Kaczyński uważa, że konstytucja powinna być uzupełniona o przepisy, które będą służyły naszej wolności i będą nas chroniły od narzucania nam z zewnątrz różnego rodzaju kulturowych czy obyczajowych rozwiązań. Chciałby także, aby przywrócono w strukturze rządowej Komitet Integracji Europejskiej, który koordynowałby tematykę związaną z Unią Europejską". http://wybory.gazeta.pl/ParlamentEuropejski2014/1,137162,15895593,Jaroslaw_Kaczynski_chce_powolania_osiemnastego_ministerstwa.html#BoxWiadTxt
-- SP I TR O NOWEJ KONSTYTUCJI: "Solidarna Polska promuje zmiany hasłem: „nowa konstytucja albo śmierć”. Twój Ruch chce rozdziału państwa od Kościoła oraz wprowadzenia euro". http://www.tvp.info/15052512/nowa-konstytucja-albo-smierc-partie-polityczne-chca-zmian
-- TAK WYGLĄDAJĄ TULIPANY "LESZEK MILLER" https://twitter.com/LeszekMiller/status/462611762337304576/photo/1
-- W NIEDZIELĘ PREMIER TUSK WEŹMIE UDZIAŁ W OBCHODACH DNIA STRAŻAKA: https://www.premier.gov.pl/dla-mediow/premier-na-obchodach-dnia-strazaka.html
-- KOMOROWSKI O UKRAINIE: "Prezydent Bronisław Komorowski odnosząc się dziś w radiowych "Sygnałach Dnia" do sytuacji na Ukrainie ocenił, że to kryzys sterowany głównie po to, aby utrudnić przeprowadzenie zaplanowanych na 25 maja w tym kraju wyborów prezydenckich. (...) To grozi chaosem i utratą kontroli przez władze w Kijowie nad sytuacją na Wschodzie i na Południu kraju. Niewątpliwie wszyscy są pewni tego, że to leży w interesie Rosji, która wnioskuje publicznie i zapowiada działania na rzecz co najmniej osłabienia związków tych regionów z Kijowem". http://www.rp.pl/artykul/16,1106757-Komorowski-o-Ukrainie--Chodzi-o-utrudnienie-przeprowadzenia-wyborow.html
-- KOMOROWSKI O POGODZIE: "Pogoda nas nie rozpieszcza w ramach "majówki z Polską", ale wiadomo, taki mamy klimat - powiedział prezydent". http://wiadomosci.gazeta.pl/wiadomosci/1,114871,15895174,Zart_czy_gafa_prezydenta_Komorowskiego___Taki_mamy.html
-- UPROWADZONY POLAK O CAŁEJ SYTUACJI: "Kobielski nie chciał skomentować oświadczenia przywódcy separatystów ze Słowiańska Wiaczesława Ponomariowa, który stwierdził, że członkowie misji OBWE byli jego "gośćmi". Zwrócił jednak uwagę, że trudno czuć się gościem, kiedy wokół nieustannie znajdują się uzbrojeni ludzie. Zaznaczył, że obserwatorzy nie byli źle traktowani, ale "było wiele momentów, w których czuliśmy zagrożenie". http://www.polskieradio.pl/5/3/Artykul/1115441,Uprowadzony-Polak-z-misji-OBWE-byly-momenty-ze-czulismy-sie-zagrozeni
-- SIERAKOWSKI: POŻYTECZNI IDIOCI PUTINA: "W XX wieku „pożytecznych idiotów” sowieckiej Rosji jeszcze przybyło. André Gide, Pablo Neruda, George Bernard Shaw czy Jean Paul-Sartre to tylko najbardziej znani. Dzisiaj postawa niektórych zachodnich polityków i intelektualistów z sukcesem nawiązuje do tej bogatej tradycji dobrowolnego czynienia przysług Rosji. I często używają oni argumentu o znaczącej roli nacjonalistów w rewolucji ukraińskiej dla usprawiedliwienia własnej bezczynności i przychylności wobec Putina". http://www.krytykapolityczna.pl/artykuly/swiat/20140503/sierakowski-pozyteczni-idioci-putina
-- DZIŚ NA ANTENIE TVN24 WYEMITOWANO "CUD HISTORII" KATARZYNY KOLENDY-ZALESKIEJ: "- Kiedy słuchałam tych opowieści o negocjacjach, to wiedziałam, że to jest tak, że z każdej strony były blefy, każdy gdzieś kogoś chciał zagiąć - wspominała we "Wstajesz i wiesz" Katarzyna Kolenda-Zaleska, autorka filmu dokumentalnego o okolicznościach wejścia Polski do Unii Europejskiej". http://www.tvn24.pl/kultura-styl,8/osoby-ktore-straszyly-ue-staly-sie-jej-zwolennikami-cud-historii-katarzyny-kolendy-zaleskiej,423343.html
Współpraca: Michał Olech
fot. prezydent.pl/Łukasz Kamiński
Nie będzie innego
- Kaczyński o kandydacie PiS na premiera
Gorący temat
Gorący temat
Czy Meloni chce oddać Włochy, a Orban Węgry pod niemiecki but?
- Sikorski
Gorący temat
Wycofajcie się z tej drogi, bo historia wam tego nie zapomni
- Kosiniak-Kamysz do opozycji i prezydenta
Gorący temat
Niech pan zlikwiduje centralne biuro antybudżetowe
- Bogucki zwraca się do Tuska
Gorący temat
Cały ten SAFE to jeden wielki przekręt
- Kaczyński o ''decyzji w obronie niepodległości''
Gorący temat
Witaj na 300polityka AI!
Zadaj pytanie, które pomoże Ci lepiej zrozumieć świat polityki, kampanii wyborczych, mediów i strategii. AI odpowie na podstawie wiarygodnych źródeł i aktualnych danych.